قیمت نهایی مسکن مهر فاز ۹ پردیس اعلام شد

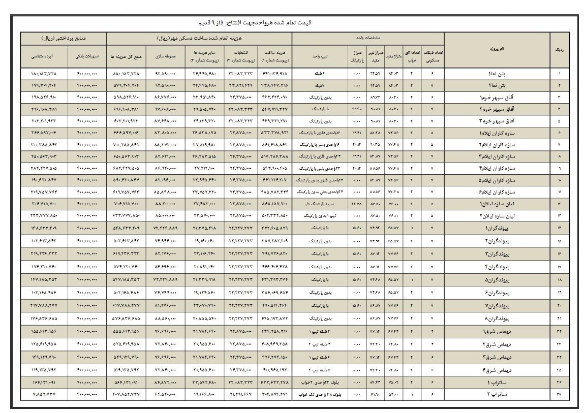
سرانجام پس از حدود ۵ سال قیمت نهایی ۵۳ پروژه مسکن مهر فاز ۹ قدیم شهر پردیس برای افتتاح اعلام شد، بر این اساس متقاضیان باید برای واحدهای خود آورده‌ای بین ۲۴۵هزار تومان تا ۴۵میلیون تومان پرداخت کنند.

قیمت نهایی مسکن مهر فاز ۹ پردیس اعلام شد


به گزارش خبر فوری به نقل از تسنیم، هفته گذشته مدیرعامل شرکت عمران پردیس از برنامه‌ریزی برای افتتاح واحدهای مسکن مهر فاز 9 قدیم این شهر پس از سال‌ها خبر داد، واحدهایی که دیوار حائل به‌‌عنوان بزرگترین مشکل، مانع از تحویل آنها به متقاضیان این طرح طی 5 سال اخیر شده است.

سعید غفوری دراین‌باره به تسنیم گفته بود: یکی از مشکلاتی که پروژه‌های مسکن مهر پردیس در فاز 9 دارد مربوط به دیوار حائل این واحدهاست. دیوار حائل باید سال 91 به‌صورت اصولی اجرا می‌شد، اما با وجود همه موانع موجود بر اساس برنامه‌ریزی صورت‌گرفته از ماه آینده (مردادماه 96) در فاز 9 قدیم واحدهای مسکن مهر افتتاح می‌شود و تحویل داریم.

مطابق جدول منتشرشده از سوی شرکت عمران پردیس آورده متقاضیان واحدهای مسکن مهر 9 قدیم با احتساب تسهیلات چهل میلیون تومانی از 245 هزار تومان شروع و به 45 میلیون تومان ختم می‌شود. طبق معمول بیشترین آورده متقاضیان مربوط به پروژه‌هایی است که هسا متولی ساخت آنهاست. حدود 50 هزار واحد مسکن مهر سراسر کشور توسط این شرکت در حال ساخت است که بیشترین تأخیر و افزایش قیمت را طی سال‌های اخیر داشته‌اند.

کمترین آورده متقاضیان مسکن مهر نیز مربوط به واحدهای 59متری (49 متر مفید) تک‌خواب است که متقاضی برای آن باید 245 هزار تومان به‌عنوان آورده بپردازد. بیشترین آورده متقاضیان نیز همان‌گونه که اشاره شد مربوط به پروژه‌های مشکل‌دار هساست. در فاز 9 بالغ بر 14 پروژه توسط هسا در حال ساخت است که قیمت نهایی آنها از 55 تا 85 میلیون تومان است.

15

شبکه‌های اجتماعی
دیدگاهتان را بنویسید