پیشنهاد فرمول جدید فروش اقساطی برای جلوگیری از گران‌فروشی بانکها

این یادداشت نقدی بر روش حال حاضر محاسبه اقساط تسهیلات فروش اقساطی (مرابحه) در سیستم بانکی (تابع نمایی بر اساس سود مرکب) می باشد که ابتدا دلایل رد آن و سپس ارائه فرمول پیشنهادی جدید برای محاسبه اقساط بیان می شود.

پیشنهاد فرمول جدید فروش اقساطی برای جلوگیری از گران‌فروشی بانکها

در قراردادهای تسهیلات فروش اقساطی (مرابحه اقساطی)، بانکها مبلغ اقساط را برای مشتریان خود تعیین می‌نمایند. برای محاسبه اقساط در حال حاضر از روش تابع نمایی (توانی) استفاده می‌شود. رییس کل محترم بانک مرکزی اعلام نموده اند که دریافت سود مرکب در تسهیلات ممنوع است در حالی که این روش محاسباتی موجود (تابع نمایی) دقیقا بر مبنای سود مرکب شکل گرفته است و در حال حاضر دقیقا همین روش سیستم بانکی در حال اجراست و در این یادداشت بصورت ریاضی این روش دریافت کنونی که اجحاف بر مشتری است به اثبات رسیده است.

البته این نکته باید بیان شود که رد نمودن فرمول کنونی محاسباتی بانکها به معنای ربوی بودن عملیات آنها نیست زیرا قراردادهای فروش اقساطی و مرابحه ماهیت بیع داشته و معامله ای در ابتدای قرارداد با یک قیمت مشخص بین بانک و مشتری انجام می‌شود بلکه فرمول کنونی موجب شده فقط قیمت بالاتری را برای اقساط مشتری در نظر گرفته شود و بر او اجحاف شود و باعث گرانتر فروختن کالا یا خدمات تحت قرارداد فروش اقساطی شود چون بر مبنای سود مرکب طراحی شده است. بطور مثال بانک نرخ سود 18% را برای تسهیلات عنوان می‌کند ولی در عمل طبق این فرمول نرخ20% از مشتری اخذ می شود. که میزان دقیق آن بستگی به مدت قراردادها دارد. لذا در عمل، مشکل گران فروشی توسط بانکها بوجود می‌آید و شبهه ربا وجود ندارد.

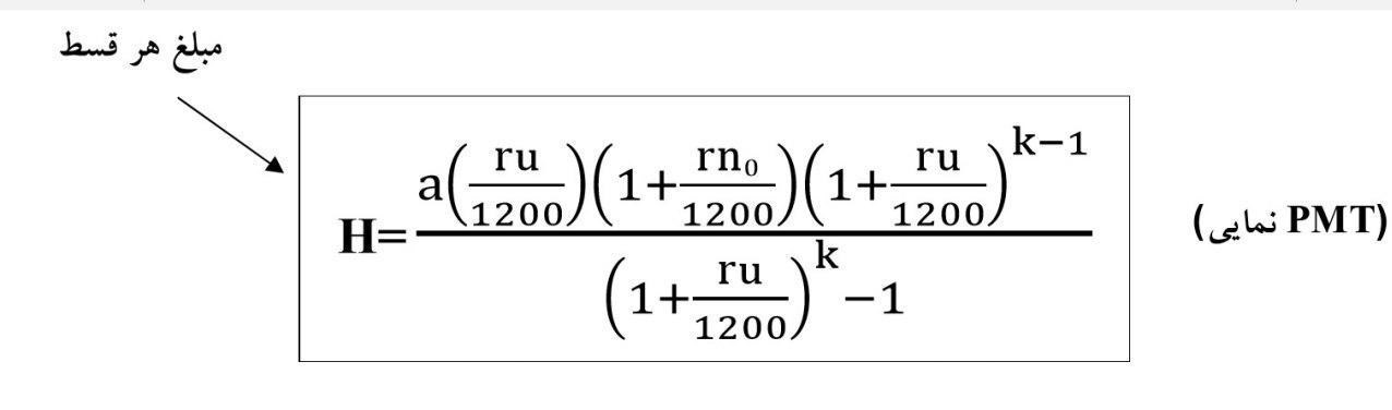
در پایان فرمول حال حاضر بانکها و روش جایگزین پیشنهادی نگارنده آورده می شود:

روش حال حاضر بانکها

برای محاسبه مبلغ هر قسط از رابطه PMT زیر استفاده می‌شود:

روش پیشنهادی جدید

مبلغ هر قسط از رابطه زیر بدست می‌آید که آنرا رابطه PMT-Flat می‌نامیم:

که در آن n = n₀ + (k-1) u می‌باشد.

هر دوی این روشها به صورت اثبات ریاضی مبسوط موجود است که در صورت نیاز به مسئولان ذی ربط ارائه می شود.

نتیجه گیری: با توجه به اینکه رابطه ریاضی حال حاضر بانکها بر مبنای محاسبات ارزش آتی به روش سود مرکب (تابع نمایی) اثبات می‌گردد و با عنایت به مقدمات پیش گفته فلسفه این روش مردود است، لذا رابطه محاسباتی فوق الذکر نیز مردود می‌باشد و رابطه جدید بر اساس محاسبات ارزش آتی به روش ساده (Flat) می باشد.

امیرهوشنگ میرباقری-کارشناس امور بانکی

منبع: منبع: تسنیم

729

شبکه‌های اجتماعی
دیدگاهتان را بنویسید