بارندگی فارس به ۳۲۶ میلیمتر رسید/پرباران‌ترین نقاط استان تا ۱۲ فروردین

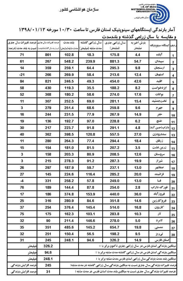
از ابتدای سال زراعی جاری تاکنون ۳۲۶.۲ میلیمتر باران در فارس باریده است که نسبت به مدت مشابه سال گذشته ۲۴۵ درصد افزایش یافته است.

بارندگی فارس به ۳۲۶ میلیمتر رسید/پرباران‌ترین نقاط استان تا ۱۲ فروردین

براساس اعلام اداره کل هواشناسی استان فارس از ابتدای سال زراعی جاری تاکنون 326.2 میلیمتر باران در فارس باریده است که نسبت به مدت مشابه سال گذشته (94.6 میلیمتر) 245 درصد و نسبت به مدت مشابه بلند مدت (248.1 میلیمتر) 31 درصد افزایش یافته است.

پرباران‌ترین نقاط استان فارس در سال زراعی 97-98 به این شرح است.

1ـ سپیدان 881.3 میلیمتر

2ـ ممسنی 654 میلیمتر

3ـ سد درودزن 557.5 میلیمتر

4ـ کازرون 514 میلیمتر

5ـ اقلید 454 میلیمتر

کم‌بارش‌ترین نقاط استان فارس نیز به شرح زیر است.

1ـ آباده 175.8 میلیمتر

2ـ ایزدخواست 188.2 میلیمتر

3ـ نی‌ریز 198.2 میلیمتر

4ـ زرین دشت 207.2 میلیمتر

5ـ سروستان 208.5 میلیمتر

منبع: تسنیم

1981

شبکه‌های اجتماعی
دیدگاهتان را بنویسید